Skip to main content

Revelation Biosciences Inc. Announces Preclinical Biomarker Data Supporting Activity of REVTx-300

Revelation Biosciences Inc. (NASDAQ: REVB) (the “Company” or “Revelation”) announced today statistically significant results in a validated preclinical model of acute and chronic kidney disease. This mechanistic biomarker data further supports the potential clinical utility of REVTx-300 previously announced on November 18, 2022.

This press release features multimedia. View the full release here: https://www.businesswire.com/news/home/20230207005660/en/

(Graphic: Business Wire)

(Graphic: Business Wire)

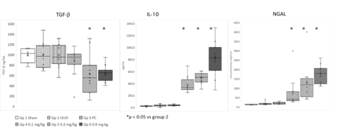
In this validated preclinical model, administration of REVTx-300 caused significant reduction in circulating transforming growth factor-β (TGF-β) in a dose dependent manner relative to the positive control group. In addition, REVTx-300 significantly increased circulating anti-inflammatory interleukin-10 (IL-10), hepcidin, and neutrophil gelatinase-associated lipocalin (NGAL) in all groups in a dose dependent manner, relative to the positive control group (the unilateral ureteral obstruction (UUO) model, described below).

TGF-β is a key driver of fibrogenesis and contributes directly to the deposition of collagen through excessive production of extracellular matrix. IL-10 is characterized as an anti-inflammatory cytokine, due to its capability to reduce the generation of pro-inflammatory mediators. Hepcidin and NGAL sequester iron to prevent iron-mediated reactive oxygen tissue damage.

There were no significant increases in markers of inflammation. These results provide mechanistic evidence for the reduction in fibrosis observed in the UUO model in response to treatment with REVTx-300. Revelation plans to seek publication of the full results during 2023.

Revelation originally released positive results (October 25, 2022) from the preclinical model of acute kidney injury (AKI) and chronic kidney disease (CKD). Additional analysis announced on November 18, 2022 found that treatment with REVTx-300 significantly reduced new collagen deposition (fibrosis) in the renal cortex in a dose dependent manner in the medium and high dose groups (42.1% reduction (p <0.05) and 56.7% (p < 0.05), respectively). The reduction in new collagen formation was calculated for each treatment group vs the UUO control group after correction for the normal collagen levels observed in the sham control.

“Redirection of the inflammatory response has tremendous potential to treat a wide variety of diseases associated with fibrosis,” said James Rolke, Chief Executive Officer of Revelation. “We look forward to further investigation of the role PHAD plays in TLR4 biology as a treatment of inflammatory disease and infection.”

Fibrosis, or the formation of scar tissue, is the final, common pathway of many diseases which can have devastating effects, including acute kidney injury, chronic kidney injury, nonalcoholic steatohepatitis, myocarditis, and cancer. Revelation intends to further investigate the potential anti-inflammatory and anti-fibrotic benefit of PHAD, including its effect on NLRP3-mediated inflammasome activation in animal models of AKI, CKD, nonalcoholic steatohepatitis (NASH), and cancer.

About REVTx-300 Preclinical Study

The unilateral ureteral obstruction (UUO) model is appropriate for studying the anti-inflammatory and anti-fibrotic effects of potential new therapies for acute and chronic kidney disease as complete ureteral obstruction of one kidney results in significant inflammation and subsequent fibrosis of the affected kidney over a 7-day period.

The present study consisted of 6 groups with the following outcomes on renal cortical fibrosis as measured by detection of collagen deposition using picosirius red stained histology sections assessed at three different sampling depths.

  • Group 1 animals had surgery with no UUO (Sham) and received vehicle only (collagen deposition: 2.36 ± 0.44%).
  • Group 2 animals had UUO surgery and received vehicle only (collagen deposition: 4.88 ± 0.51%).
  • Group 3 animals had UUO surgery and received SB-525334, a known TGF-β inhibitor of fibrosis (new collagen deposition: 3.02 ± 0.37%, 75% reduction vs Group 2 - Sham, p < 0.05).
  • Group 4 animals had UUO surgery and received 0.1 mg/kg REVTx-300 (new collagen deposition: 4.96 ± 0.95 %, 1% reduction vs Group 2 – Sham).
  • Group 5 animals had UUO surgery and received 0.3 mg/kg REVTx-300 (new collagen deposition: 3.82 ± 0.91%, 42% reduction vs Group 2 – Sham, p < 0.05).
  • Group 6 animals had UUO surgery and received 0.9 mg/kg REVTx-300 (new collagen deposition: 3.45 ± 0.54%, 57% reduction vs Group 2 – Sham, p < 0.05).

About REVTx-300

REVTx-300 is a proprietary formulation for systemic administration of PHAD and is being developed as a potential therapy for the treatment of acute and chronic organ disease including chronic kidney disease (CKD), acute kidney injury (AKI), myocarditis, and nonalcoholic steatohepatitis (NASH). Chronic disease of an organ, due to chronic inflammation and subsequent fibrosis, follows a pattern of perpetual and ongoing destruction of living functional cells and subsequent replacement by the non-functional protein, collagen, resulting in fibrosis (scar tissue) (Wilson). The establishment of fibrosis and subsequent death of the organ is driven by ongoing inflammatory processes and reactive oxygen species associated with the innate immune response. Revelation believes that redirection of the innate immune response with REVTx-300 from a pro-inflammatory state to an anti-inflammatory (protective) state may rebalance the innate immune response to slow down or halt the progressive destruction and scarring of organ tissue, allowing the healing process to take place. Revelation plans to initiate clinical studies in 2023.

About Revelation Biosciences Inc.

Revelation Biosciences, Inc. is a life sciences company focused on the development of immunologic-based therapies for the prevention and treatment of disease. Revelation has multiple product candidates in development that are based on the well-established biology of phosphorylated hexaacyl disaccharide (PHAD) and its effect on the innate immune system. REVTx‑100 is being developed as a prevention and treatment of infection. REVTx‑200 is being developed as an intranasal immunomodulator adjunct to be used in combination with an intramuscular vaccination for more complete immunity. REVTx‑300 is being developed as a potential therapy for the treatment of acute and chronic organ disease including CKD, AKI, myocarditis, and NASH. REVTx‑99b is being developed as a treatment for food allergies. REVDx‑501 is being developed as a rapid diagnostic that can be used to detect IP-10 as a surrogate biomarker for any type of respiratory infection, eliminating the need for specialized instrumentation.

Forward-Looking Statements

This press release contains forward-looking statements as defined in the Private Securities Litigation Reform Act of 1995, as amended. Forward-looking statements are statements that are not historical facts. These forward-looking statements are generally identified by the words "anticipate", "believe", "expect", "estimate", "plan", "outlook", and "project" and other similar expressions. We caution investors that forward-looking statements are based on management’s expectations and are only predictions or statements of current expectations and involve known and unknown risks, uncertainties and other factors that may cause actual results to be materially different from those anticipated by the forward-looking statements. Revelation cautions readers not to place undue reliance on any such forward looking statements, which speak only as of the date they were made. The following factors, among others, could cause actual results to differ materially from those described in these forward-looking statements: the ability of Revelation to meet its financial and strategic goals, due to, among other things, competition; the ability of Revelation to grow and manage growth profitability and retain its key employees; the possibility that the Revelation may be adversely affected by other economic, business, and/or competitive factors; risks relating to the successful development of Revelation’s product candidates; the clinical utility of an increase in intranasal cytokine levels as a biomarker of viral infections; the ability to successfully complete planned clinical studies of its product candidates; the risk that we may not fully enroll our clinical studies or enrollment will take longer than expected; risks relating to the occurrence of adverse safety events and/or unexpected concerns that may arise from data or analysis from our clinical studies; changes in applicable laws or regulations; expected initiation of the clinical studies, the timing of clinical data; the outcome of the clinical data, including whether the results of such study is positive or whether it can be replicated; the outcome of data collected, including whether the results of such data and/or correlation can be replicated; the timing, costs, conduct and outcome of our other clinical studies; the anticipated treatment of future clinical data by the FDA, the EMA or other regulatory authorities, including whether such data will be sufficient for approval; the success of future development activities for its product candidates; potential indications for which product candidates may be developed; the potential impact that COVID‑19 may have on Revelation’s suppliers, vendors, regulatory agencies, employees and the global economy as a whole; the ability of Revelation to maintain the listing of its securities on NASDAQ; investor sentiment relating to SPAC related going public transactions; the expected duration over which Revelation’s balances will fund its operations; and other risks and uncertainties described herein, as well as those risks and uncertainties discussed from time to time in other reports and other public filings with the SEC by Revelation.

Contacts

Recent Quotes

View More
Symbol Price Change (%)
AMZN  248.51
+25.65 (11.51%)
AAPL  270.93
-0.47 (-0.17%)
AMD  259.07
+4.23 (1.66%)
BAC  52.98
-0.05 (-0.10%)
GOOG  282.10
+0.20 (0.07%)
META  661.71
-4.76 (-0.71%)
MSFT  520.89
-4.87 (-0.93%)
NVDA  206.72
+3.83 (1.89%)
ORCL  260.90
+4.01 (1.56%)
TSLA  447.36
+7.26 (1.65%)
Stock Quote API & Stock News API supplied by www.cloudquote.io
Quotes delayed at least 20 minutes.
By accessing this page, you agree to the Privacy Policy and Terms Of Service.